Point sur une droite ?

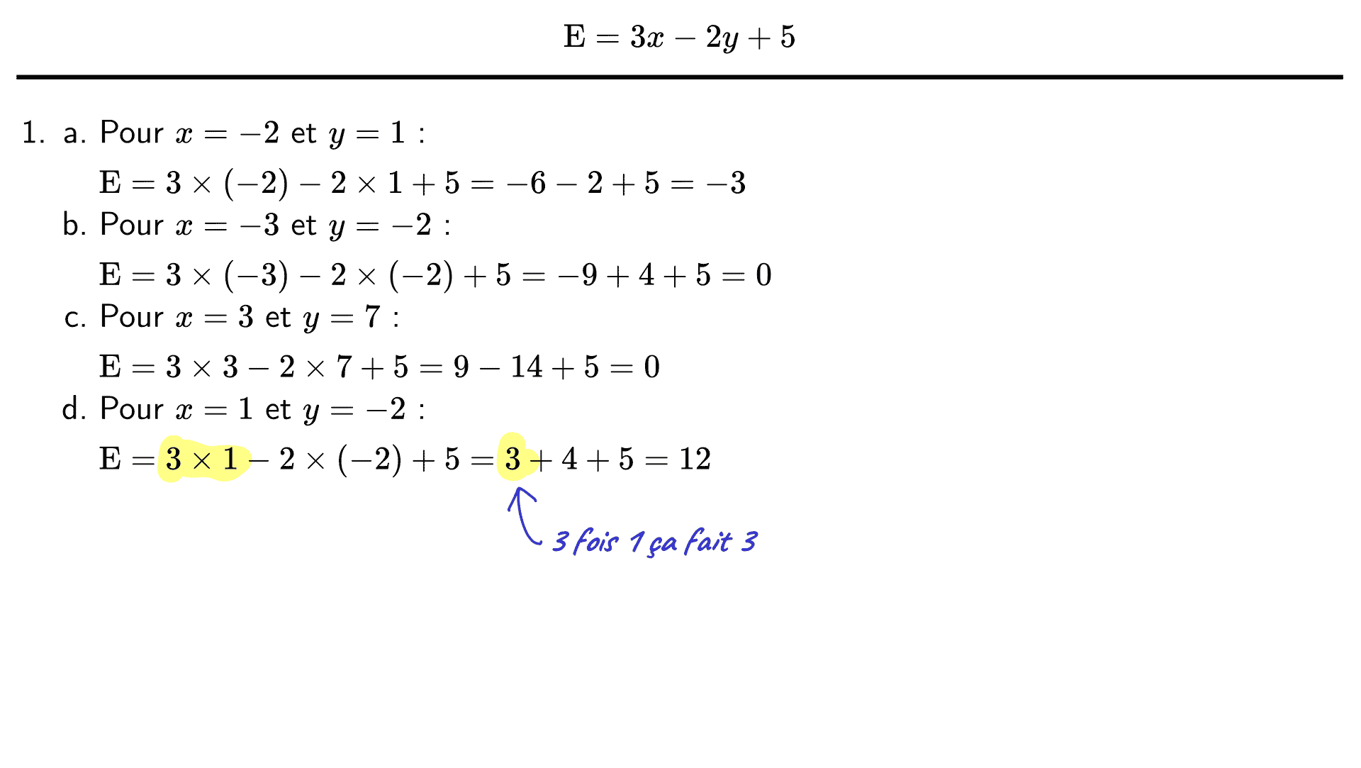
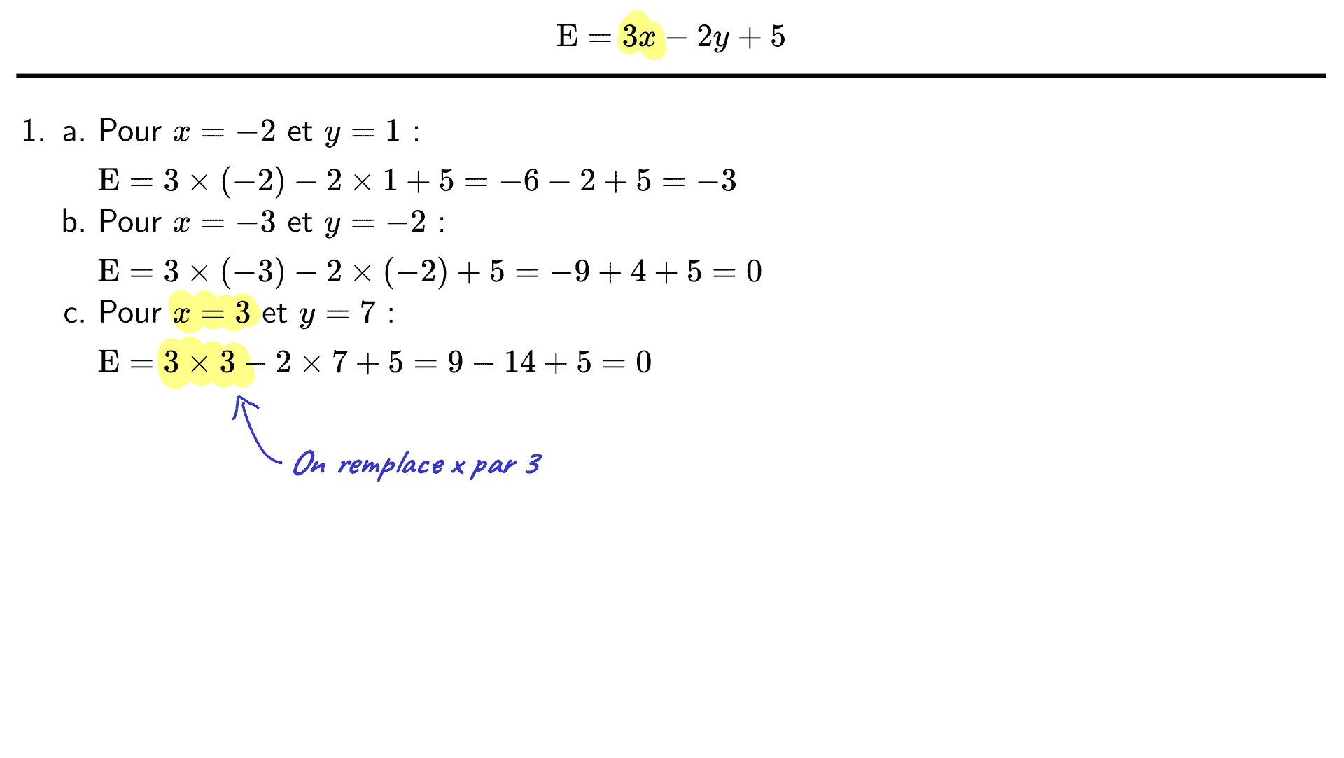
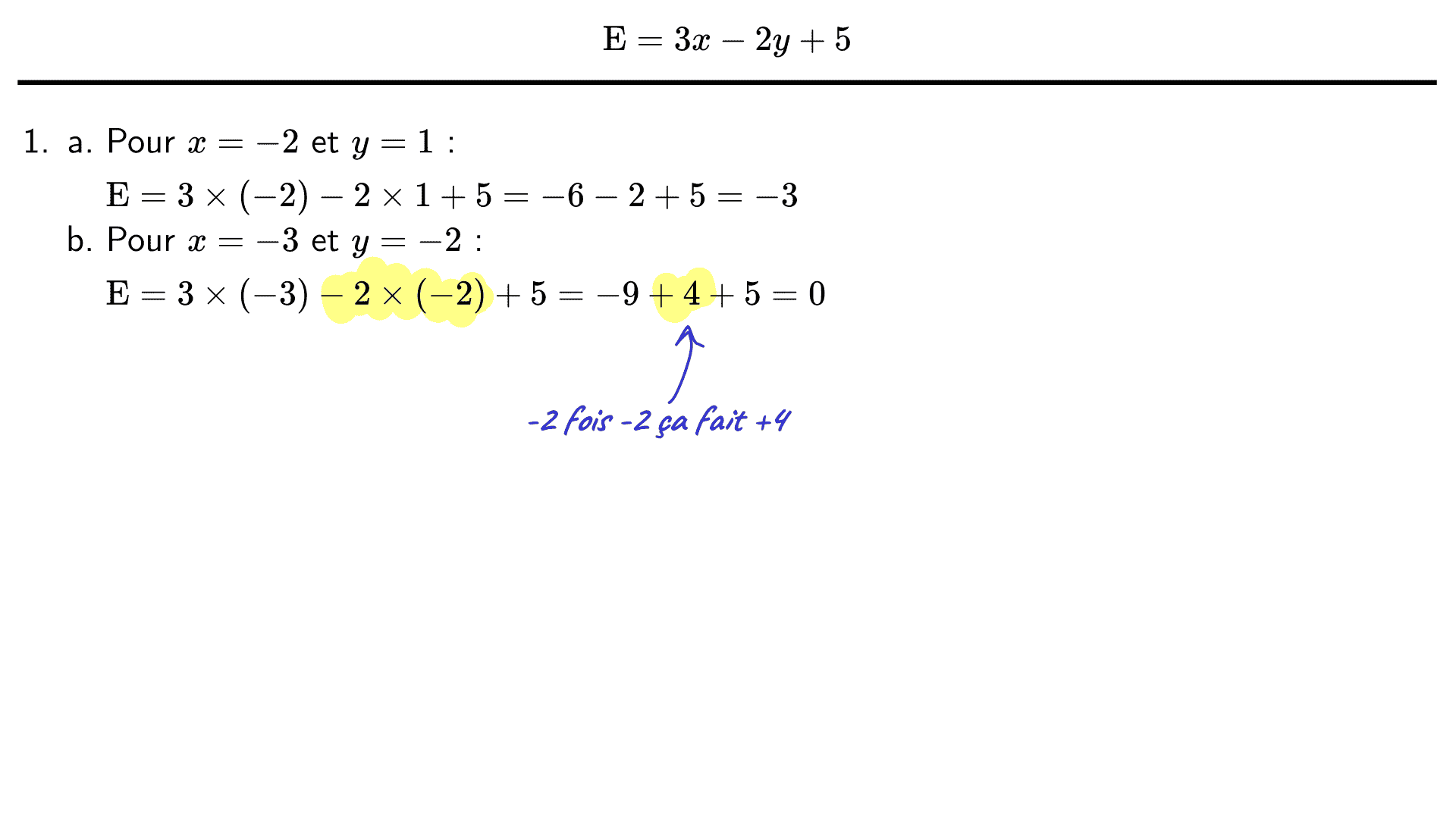
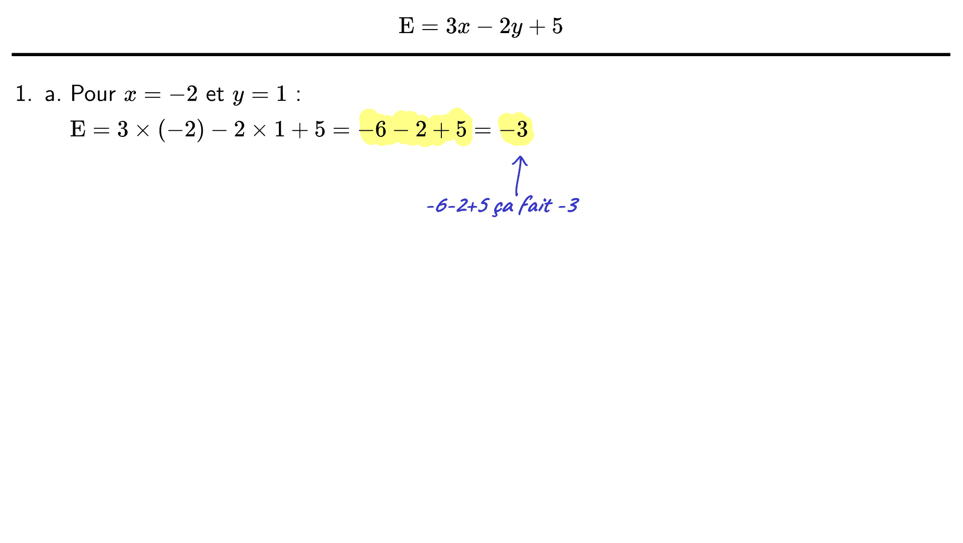
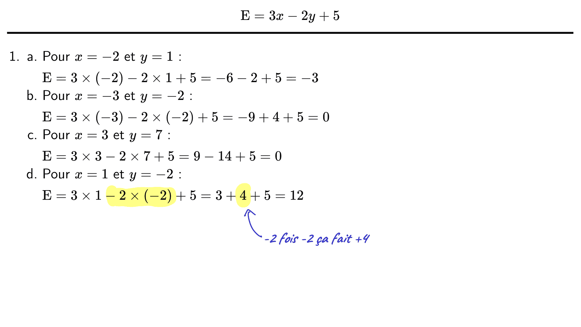
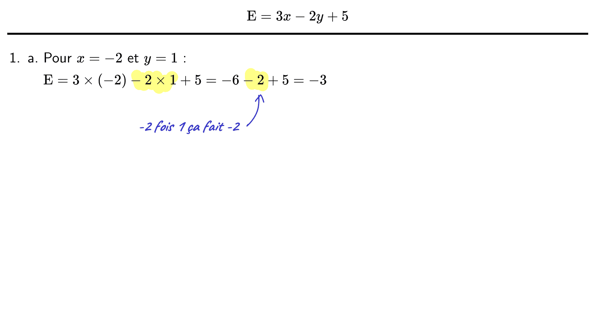
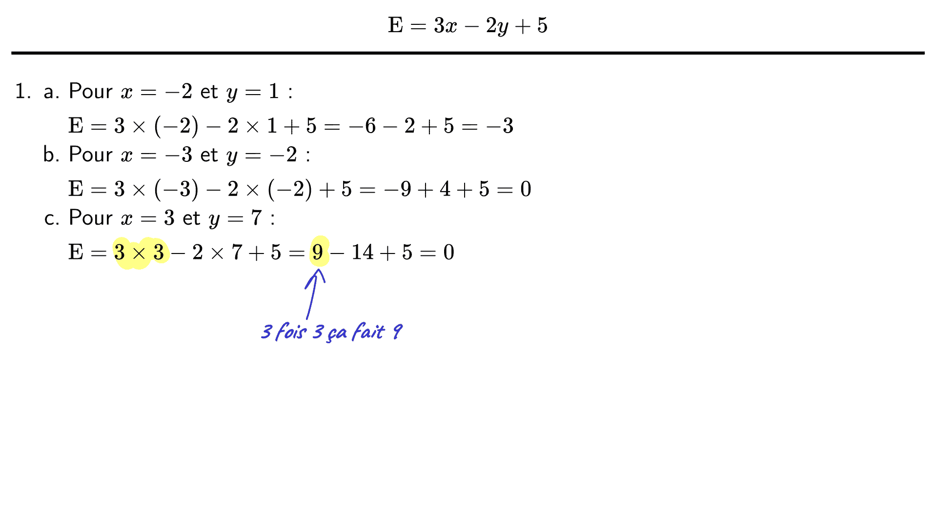
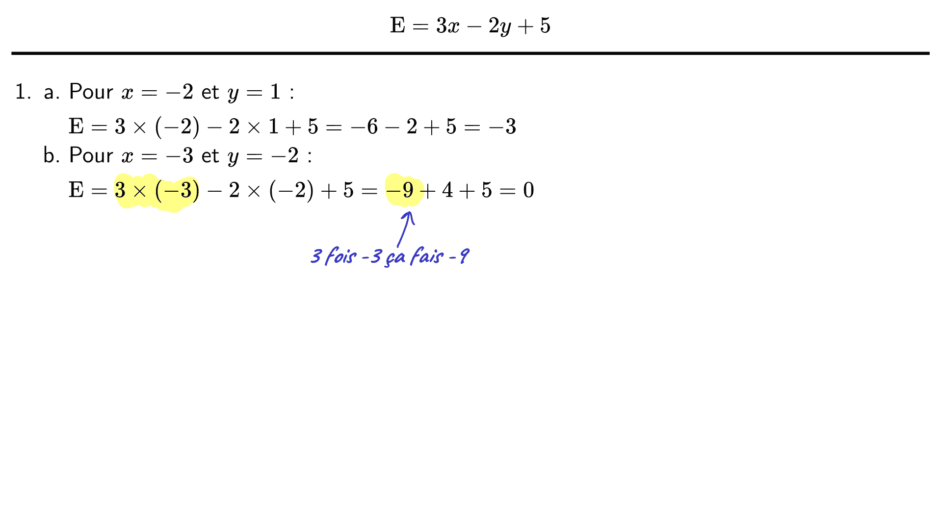
On considère l'expression $\mathrm{E}=3x-2y+5$.

  1. Calculer la valeur de $\mathrm{E}$ pour :

    1. $x=-2$ et $y=1$

    2. $x=-3$ et $y=-2$

    3. $x=3$ et $y=7$

    4. $x=1$ et $y=-2$

  2. Le plan est muni d'un repère. En utilisant les résultats de la question 1., déterminer si les points :

    $\mathrm{A}\left(-2 ; 1\right)$ $\mathrm{B}\left(-3 ; -2\right)$ $\mathrm{C}\left(3 ; 7\right)$  $\mathrm{D}\left(1 ; -2\right)$

    appartiennent à la droite $(d)$ dont une équation cartésienne est :

    $3x-2y+5=0$